Официальное опубликование правовых актов
ОФИЦИАЛЬНОЕ ОПУБЛИКОВАНИЕ
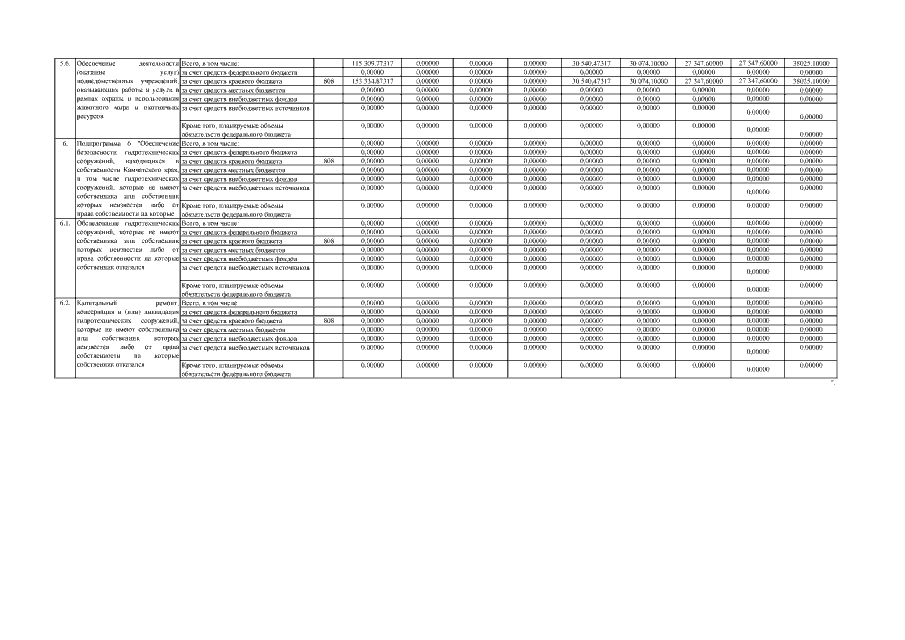
Постановление Правительства Камчатского края от 08.12.2022 № 652-П
"О внесении изменений в государственную программу Камчатского края "Охрана окружающей среды, воспроизводство и использование природных ресурсов в Камчатском крае", утвержденную постановлением Правительства Камчатского края от 03.11.2017 № 460-П"
Номер опубликования: 4100202212090014
Дата опубликования: 09.12.2022
Страница №31 из 31:
Увеличить