Официальное опубликование правовых актов
ОФИЦИАЛЬНОЕ ОПУБЛИКОВАНИЕ
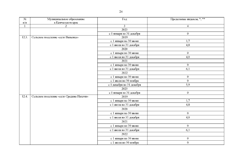
Постановление Губернатора Камчатского края от 17.11.2022 № 112
"О внесении изменений в постановление Губернатора Камчатского края от 12.12.2018 № 104 "Об установлении предельных (максимальных) индексов изменения размера вносимой гражданами платы за коммунальные услуги в муниципальных образованиях в Камчатском крае на 2019-2023 годы"
Номер опубликования: 4100202211170001
Дата опубликования: 17.11.2022
Страница №24 из 52:
Увеличить