Официальное опубликование правовых актов
ОФИЦИАЛЬНОЕ ОПУБЛИКОВАНИЕ
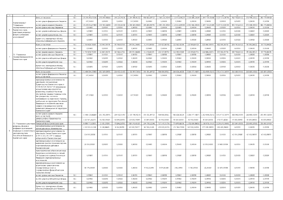
Постановление Правительства Камчатского края от 05.10.2022 № 529-П
"О внесении изменений в постановление Правительства Камчатского края от 22.11.2013 № 511-П "Об утверждении государственной программы Камчатского края "Управление государственными финансами Камчатского края"
Номер опубликования: 4100202210050005
Дата опубликования: 05.10.2022
Страница №6 из 8:
Увеличить