Официальное опубликование правовых актов
ОФИЦИАЛЬНОЕ ОПУБЛИКОВАНИЕ
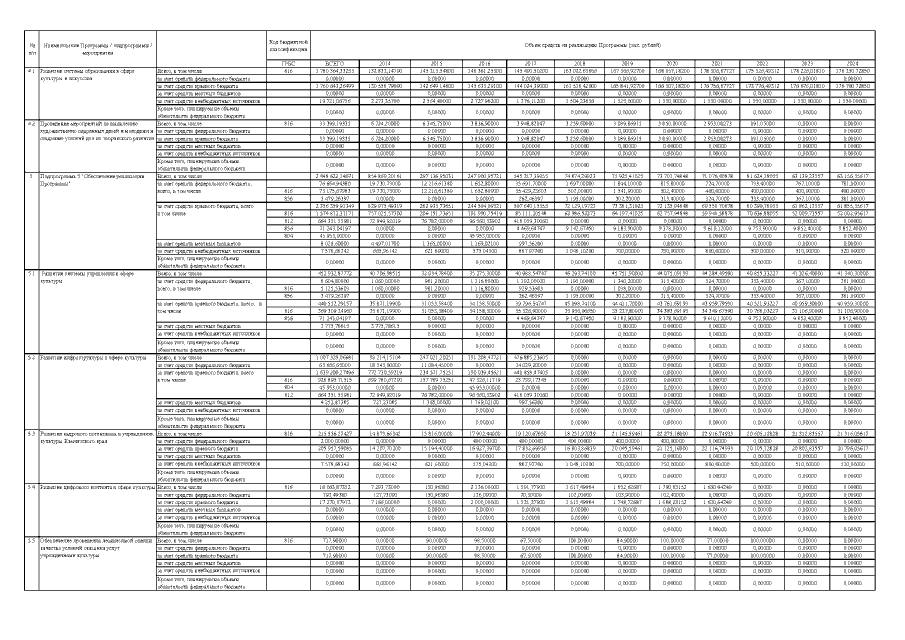
Постановление Правительства Камчатского края от 03.10.2022 № 518-П
"О внесении изменений в постановление Правительства Камчатского края от 29.11.2013 № 545-П "Об утверждении государственной программы Камчатского края "Развитие культуры в Камчатском крае"
Номер опубликования: 4100202210030004
Дата опубликования: 03.10.2022
Страница №15 из 17:
Увеличить