Официальное опубликование правовых актов
ОФИЦИАЛЬНОЕ ОПУБЛИКОВАНИЕ
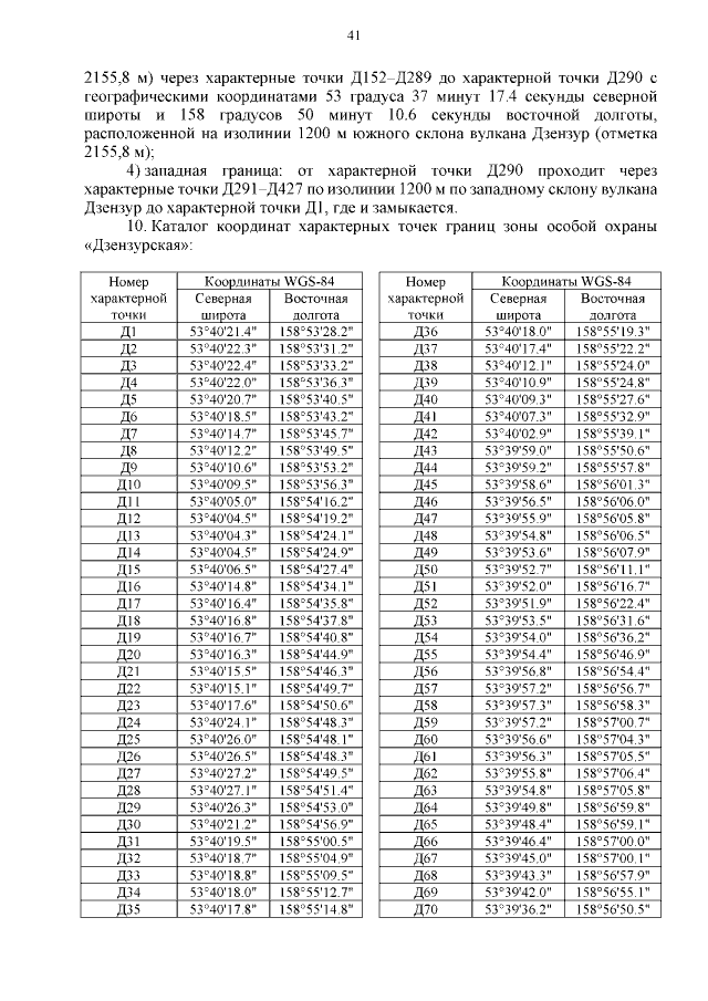
Постановление Правительства Камчатского края от 15.09.2022 № 489-П
"О природном парке регионального значения "Налычево"
Номер опубликования: 4100202209160001
Дата опубликования: 16.09.2022
Страница №41 из 128:
Увеличить