Официальное опубликование правовых актов
ОФИЦИАЛЬНОЕ ОПУБЛИКОВАНИЕ
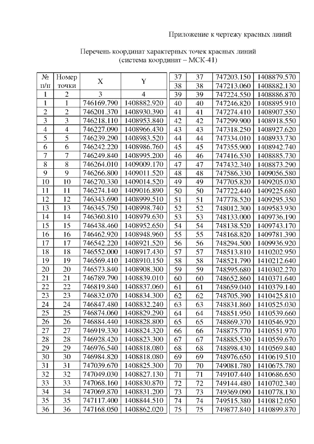
Постановление Правительства Камчатского края от 08.07.2022 № 368-П
"Об утверждении документации по планировке территории для размещения линейного объекта регионального значения"
Номер опубликования: 4100202207120001
Дата опубликования: 12.07.2022
Страница №8 из 105:
Увеличить