Официальное опубликование правовых актов
ОФИЦИАЛЬНОЕ ОПУБЛИКОВАНИЕ
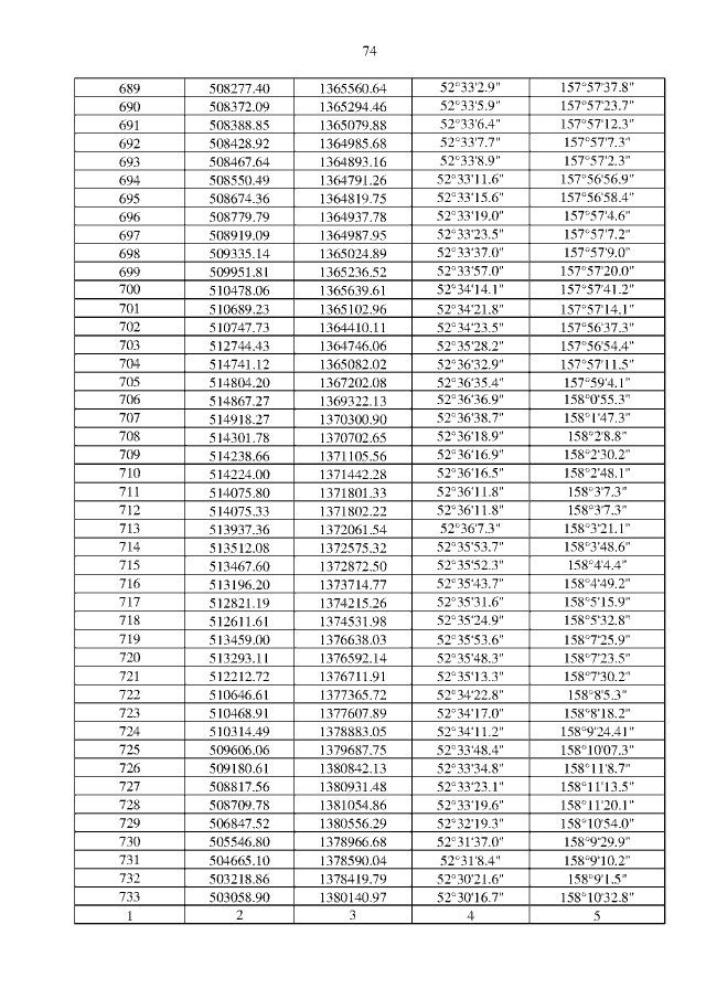
Постановление Правительства Камчатского края от 14.04.2022 № 176-П
"О природном парке регионального значения "Южно-Камчатский"
Номер опубликования: 4100202204140007
Дата опубликования: 14.04.2022
Страница №74 из 100:
Увеличить