Официальное опубликование правовых актов
ОФИЦИАЛЬНОЕ ОПУБЛИКОВАНИЕ
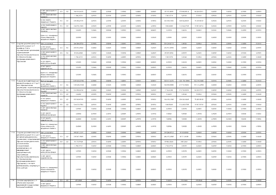
Постановление Правительства Камчатского края от 04.03.2022 № 109-П
"О внесении изменений в постановление Правительства Камчатского края от 29.11.2013 № 532-П "О государственной программе Камчатского края "Развитие образования в Камчатском крае"
Номер опубликования: 4100202203040001
Дата опубликования: 04.03.2022
Страница №19 из 29:
Увеличить