Официальное опубликование правовых актов
ОФИЦИАЛЬНОЕ ОПУБЛИКОВАНИЕ
Постановление Правительства Камчатского края от 04.03.2022 № 109-П
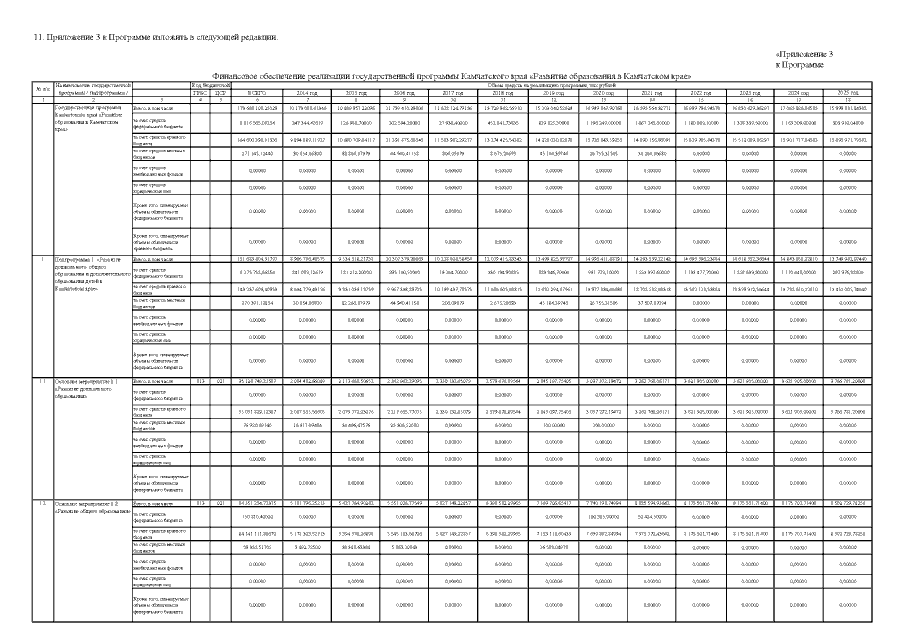
"О внесении изменений в постановление Правительства Камчатского края от 29.11.2013 № 532-П "О государственной программе Камчатского края "Развитие образования в Камчатском крае"
Номер опубликования: 4100202203040001
Дата опубликования: 04.03.2022
Страница №13 из 29:
Увеличить