Официальное опубликование правовых актов
ОФИЦИАЛЬНОЕ ОПУБЛИКОВАНИЕ
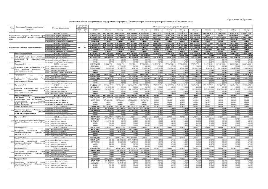
Постановление Правительства Камчатского края от 27.07.2021 № 329-П
"О внесении изменений в государственную программу Камчатского края "Развитие транспортной системы в Камчатском крае", утвержденную постановлением Правительства Камчатского края от 29.11.2013 № 551-П"
Номер опубликования: 4100202107270005
Дата опубликования: 27.07.2021
Страница №9 из 24:
Увеличить