Официальное опубликование правовых актов
ОФИЦИАЛЬНОЕ ОПУБЛИКОВАНИЕ
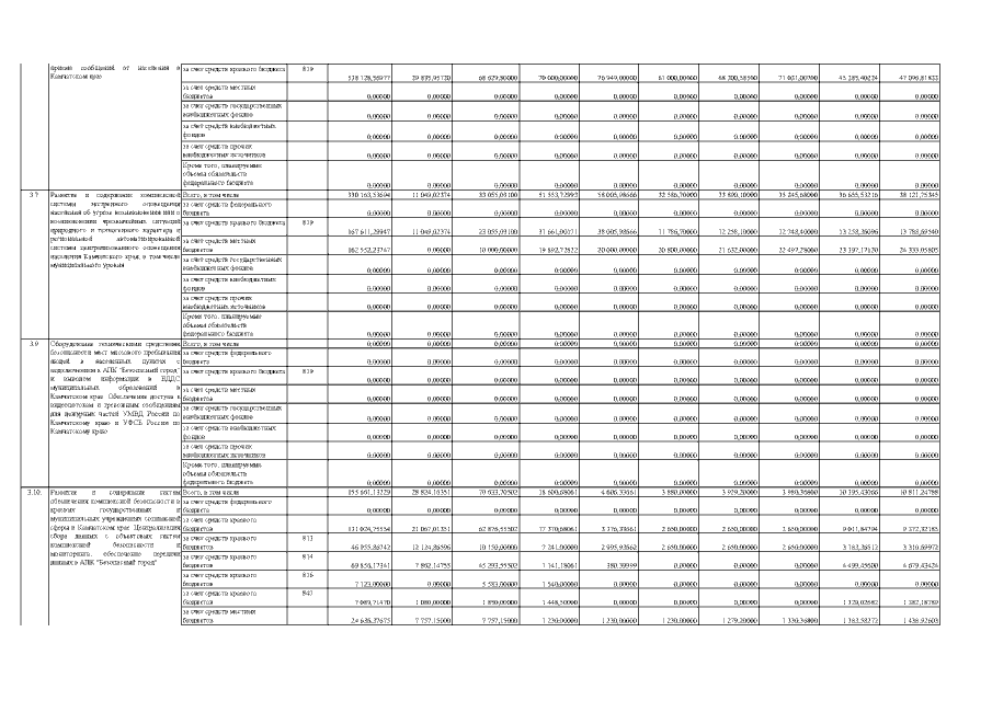
Постановление Правительства Камчатского края от 31.05.2021 № 200-П
"О внесении изменений в постановление Правительства Камчатского края от 14.11.2016 № 448-П "О государственной программе Камчатского края "Безопасная Камчатка"
Номер опубликования: 4100202106010001
Дата опубликования: 01.06.2021
Страница №24 из 38:
Увеличить