Официальное опубликование правовых актов
ОФИЦИАЛЬНОЕ ОПУБЛИКОВАНИЕ
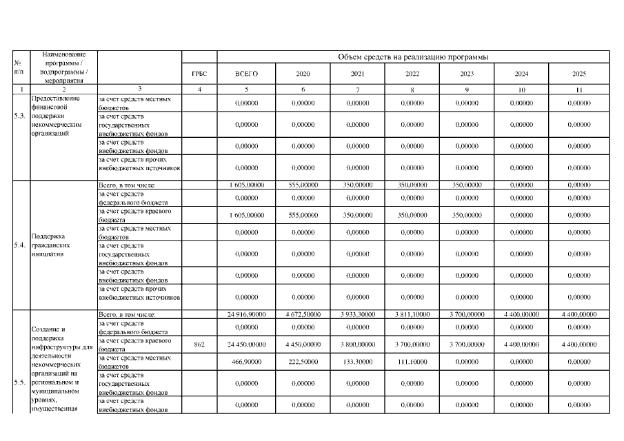
Постановление Правительства Камчатского края от 24.05.2021 № 195-П
"О внесении изменений в постановление Правительства Камчатского края от 29.11.2013 № 546-П "О государственной программе Камчатского края "Реализация государственной национальной политики и укрепление гражданского единства в Камчатском крае"
Номер опубликования: 4100202105250005
Дата опубликования: 25.05.2021
Страница №56 из 60:
Увеличить