Постановление Правительства Камчатского края от 05.05.2021 № 172-П
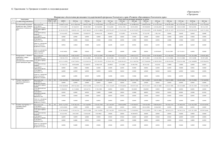
"О внесении изменений в постановление Правительства Камчатского края от 29.11.2013 № 532-П "О государственной программе Камчатского края "Развитие образования в Камчатском крае"
"О внесении изменений в постановление Правительства Камчатского края от 29.11.2013 № 532-П "О государственной программе Камчатского края "Развитие образования в Камчатском крае"
Номер опубликования: 4100202105060001
Дата опубликования:
06.05.2021
