Официальное опубликование правовых актов
ОФИЦИАЛЬНОЕ ОПУБЛИКОВАНИЕ
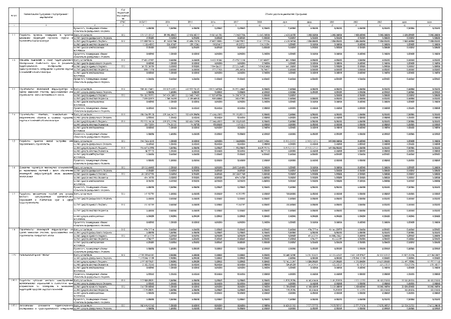
Постановление Правительства Камчатского края от 26.10.2020 № 433-П
"О внесении изменений в государственную программу Камчатского края "Обеспечение доступным и комфортным жильем жителей Камчатского края", утвержденную постановлением Правительства Камчатского края от 22.11.2013 № 520-П"
Номер опубликования: 4100202010260005
Дата опубликования: 26.10.2020
Страница №19 из 44:
Увеличить