Официальное опубликование правовых актов
ОФИЦИАЛЬНОЕ ОПУБЛИКОВАНИЕ
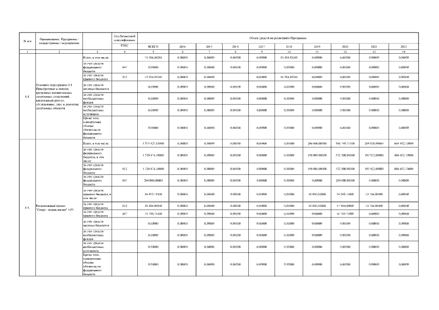
Постановление Правительства Камчатского края от 05.08.2020 № 325-П
"О внесении изменений в государственную программу Камчатского края "Физическая культура, спорт, молодежная политика, отдых и оздоровление детей в Камчатском крае", утвержденную постановлением Правительства Камчатского края от 29.11.2013 № 552-П"
Номер опубликования: 4100202008060002
Дата опубликования: 06.08.2020
Страница №24 из 37:
Увеличить