Официальное опубликование правовых актов
ОФИЦИАЛЬНОЕ ОПУБЛИКОВАНИЕ
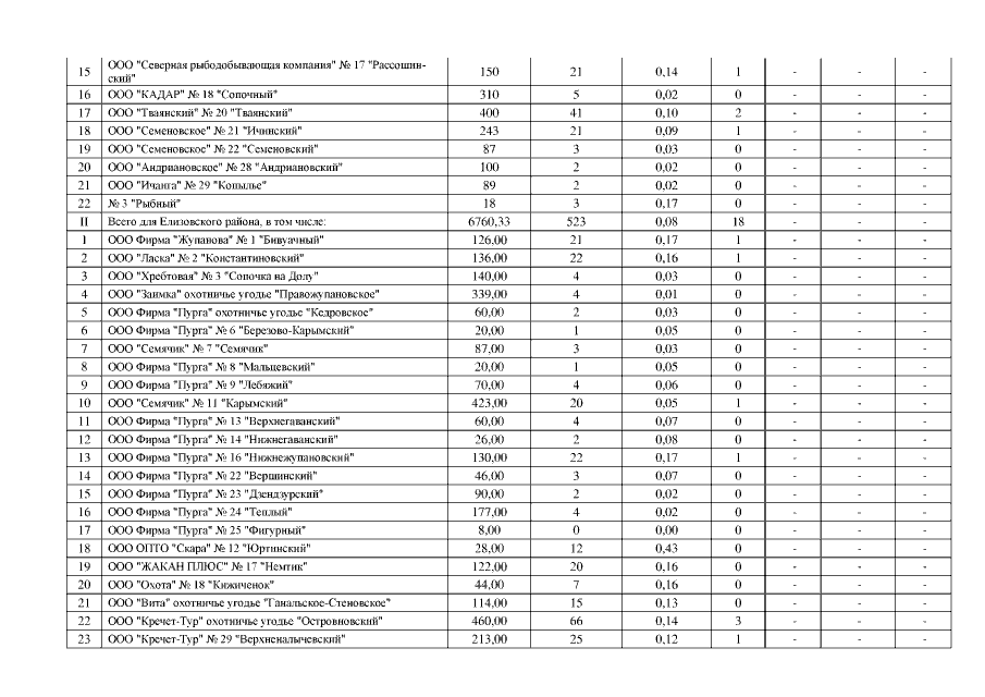
Постановление Губернатора Камчатского края от 29.07.2020 № 130
"Об утверждении лимитов добычи охотничьих ресурсов и квот добычи охотничьих ресурсов, за исключением таких лимитов и квот в отношении охотничьих ресурсов, находящихся на особо охраняемых природных территориях федерального значения, для Камчатского края на период с 01 августа 2020 года до 01 августа 2021 года"
Номер опубликования: 4100202007310001
Дата опубликования: 31.07.2020
Страница №55 из 63:
Увеличить