Официальное опубликование правовых актов
ОФИЦИАЛЬНОЕ ОПУБЛИКОВАНИЕ
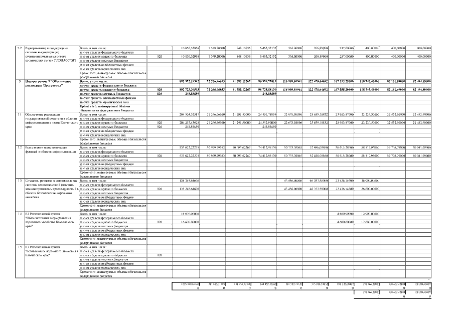
Постановление Правительства Камчатского края от 16.07.2020 № 277-П
"О внесении изменений в государственную программу Камчатского края "Информационное общество в Камчатском крае", утверждённую постановлением Правительства Камчатского края от 22.11.2013 № 512-П"
Номер опубликования: 4100202007170008
Дата опубликования: 17.07.2020
Страница №9 из 10:
Увеличить