Официальное опубликование правовых актов
ОФИЦИАЛЬНОЕ ОПУБЛИКОВАНИЕ
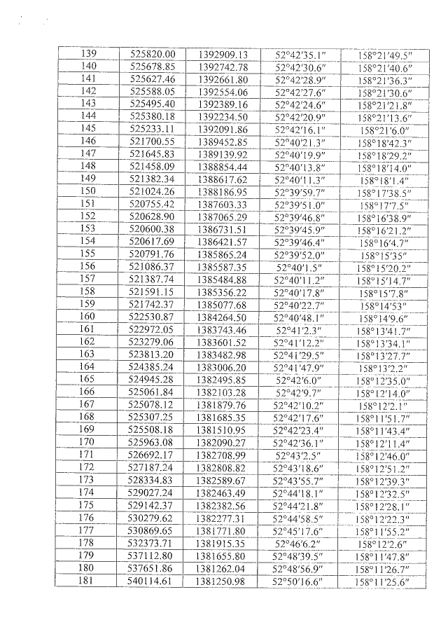
Постановление Правительства Камчатского края от 17.04.2020 № 144-П
"О памятнике природы регионального значения "Редкие ландшафты вулкана Вилючинский (до реки Левой Тополовой включительно)"
Номер опубликования: 4100202004230004
Дата опубликования: 23.04.2020
Страница №14 из 17:
Увеличить