Официальное опубликование правовых актов
ОФИЦИАЛЬНОЕ ОПУБЛИКОВАНИЕ
Постановление Правительства Камчатского края от 15.01.2020 № 8-П
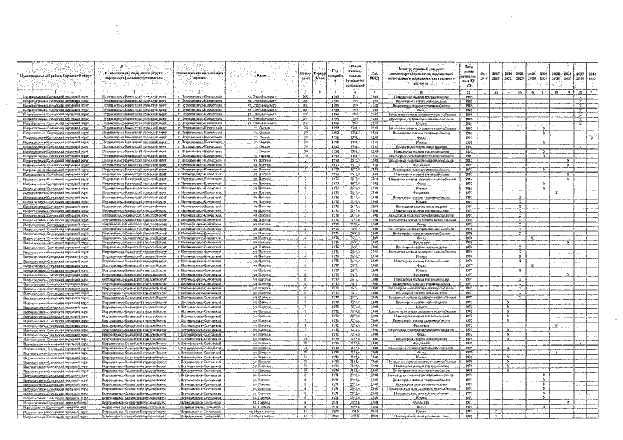
"О внесении изменения в приложение к постановлению Правительства Камчатского края от 12.02.2014 № 74-П "Об утверждении региональной программы капитального ремонта общего имущества в многоквартирных домах в Камчатском крае на 2014-2043 годы"
Номер опубликования: 4100202001170001
Дата опубликования: 17.01.2020
Страница №195 из 261:
Увеличить