Официальное опубликование правовых актов
ОФИЦИАЛЬНОЕ ОПУБЛИКОВАНИЕ
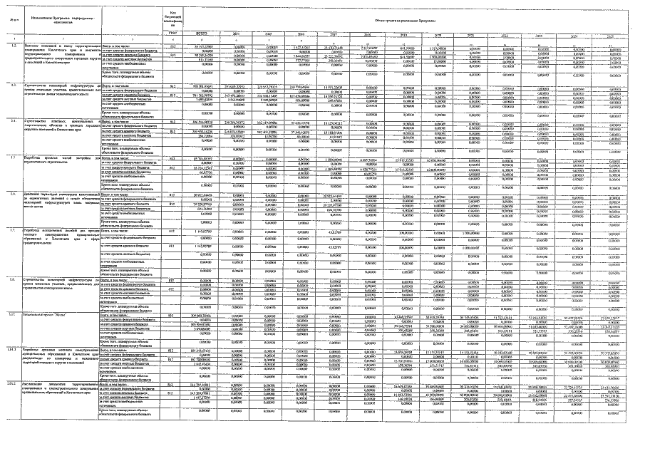
Постановление Правительства Камчатского края от 10.12.2019 № 513-П
"О внесении изменений в государственную программу Камчатского края "Обеспечение доступным и комфортным жильем жителей Камчатского края", утвержденную постановлением Правительства Камчатского края от 22.11.2013 № 520-П"
Номер опубликования: 4100201912120002
Дата опубликования: 12.12.2019
Страница №8 из 24:
Увеличить