Официальное опубликование правовых актов
ОФИЦИАЛЬНОЕ ОПУБЛИКОВАНИЕ
Постановление Правительства Камчатского края от 05.11.2019 № 467-П
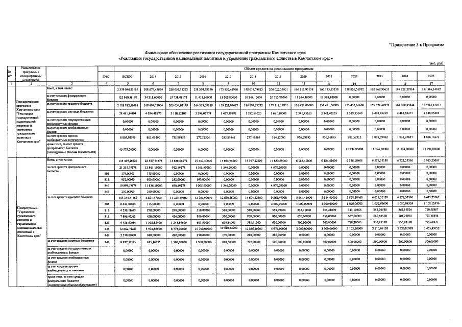
"О внесении изменений в государственную программу Камчатского края "Реализация государственной национальной политики и укрепление гражданского единства в Камчатском крае", утвержденную постановлением Правительства Камчатского края от 29.11.2013 № 546-П"
Номер опубликования: 4100201911070002
Дата опубликования: 07.11.2019
Страница №9 из 20:
Увеличить