Официальное опубликование правовых актов
ОФИЦИАЛЬНОЕ ОПУБЛИКОВАНИЕ
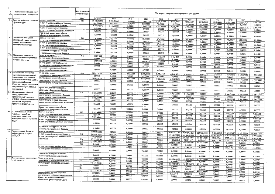
Постановление Правительства Камчатского края от 07.10.2019 № 426-П
"О внесении изменений в государственную программу Камчатского края "Развитие культуры в Камчатском крае", утвержденную постановлением Правительства Камчатского края от 29.11.2013 № 545-П"
Номер опубликования: 4100201910100008
Дата опубликования: 10.10.2019
Страница №20 из 21:
Увеличить