Официальное опубликование правовых актов
ОФИЦИАЛЬНОЕ ОПУБЛИКОВАНИЕ
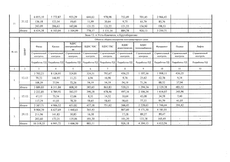
Постановление Правительства Камчатского края от 30.08.2019 № 382-П
"Об утверждении предельной стоимости услуг и (или) работ по капитальному ремонту общего имущества в многоквартирном доме в Камчатском крае на 2020-2022 годы"
Номер опубликования: 4100201909030005
Дата опубликования: 03.09.2019
Страница №25 из 41:
Увеличить