Официальное опубликование правовых актов
ОФИЦИАЛЬНОЕ ОПУБЛИКОВАНИЕ
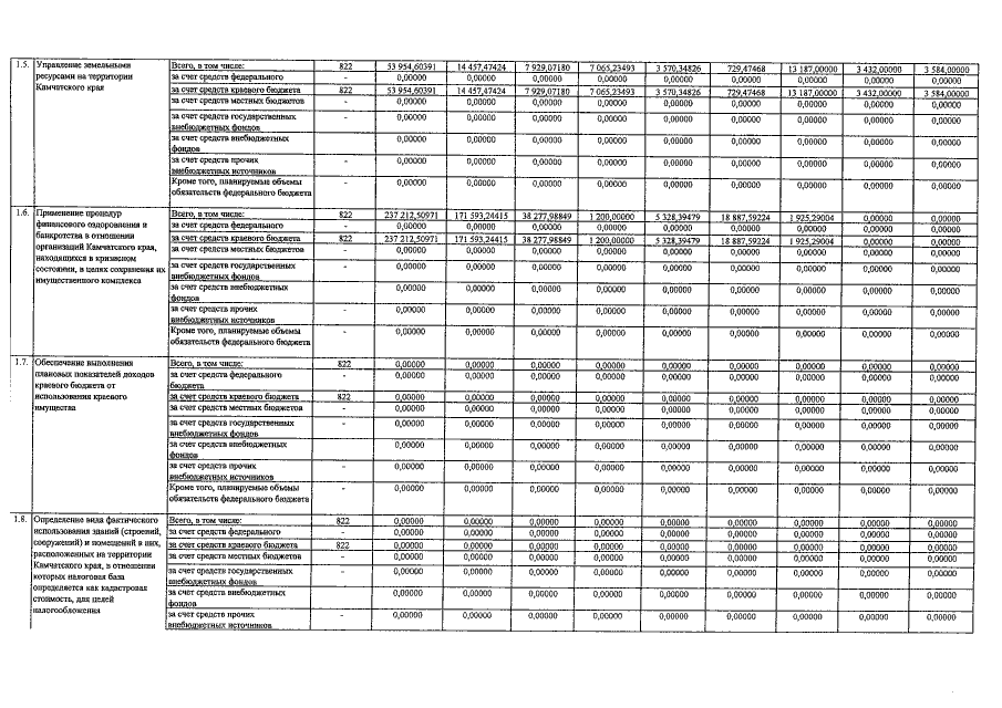
Постановление Правительства Камчатского края от 02.07.2019 № 297-П
"О внесении изменений в государственную программу Камчатского края "Совершенствование управления имуществом, находящимся в государственной собственности Камчатского края", утверждённую постановлением Правительства Камчатского края от 11.11.2013 № 489-П"
Номер опубликования: 4100201907050009
Дата опубликования: 05.07.2019
Страница №7 из 14:
Увеличить