Официальное опубликование правовых актов
ОФИЦИАЛЬНОЕ ОПУБЛИКОВАНИЕ
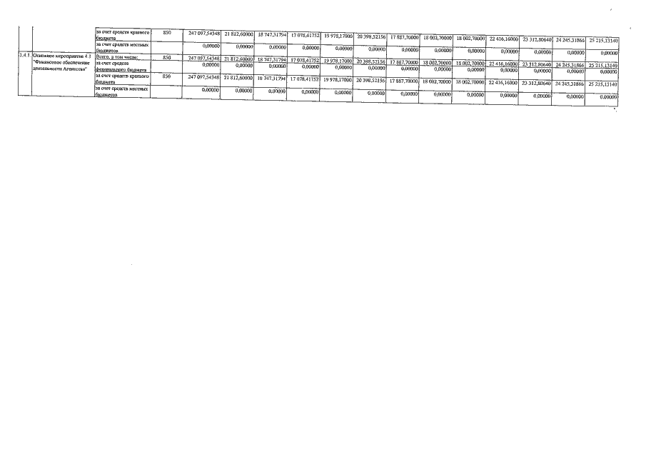
Постановление Правительства Камчатского края от 11.06.2019 № 257-П
"О внесении изменений в государственную программу Камчатского края "Развитие внутреннего и въездного туризма в Камчатском крае", утверждённую постановлением Правительства Камчатского края от 29.11.2013 № 554-П"
Номер опубликования: 4100201906170013
Дата опубликования: 17.06.2019
Страница №8 из 8:
Увеличить