Официальное опубликование правовых актов
ОФИЦИАЛЬНОЕ ОПУБЛИКОВАНИЕ
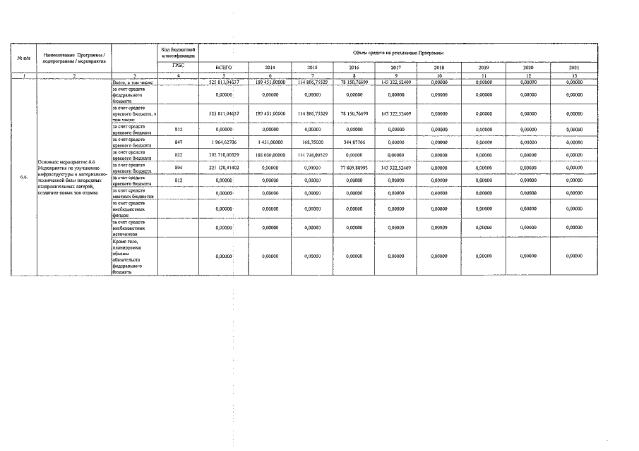
Постановление Правительства Камчатского края от 24.04.2019 № 184-П
"О внесении изменений в государственную программу Камчатского края "Физическая культура, спорт, молодежная политика, отдых и оздоровление детей в Камчатском крае", утвержденную постановлением Правительства Камчатского края от 29.11.2013 № 552-П"
Номер опубликования: 4100201904290012
Дата опубликования: 29.04.2019
Страница №25 из 26:
Увеличить