Официальное опубликование правовых актов
ОФИЦИАЛЬНОЕ ОПУБЛИКОВАНИЕ
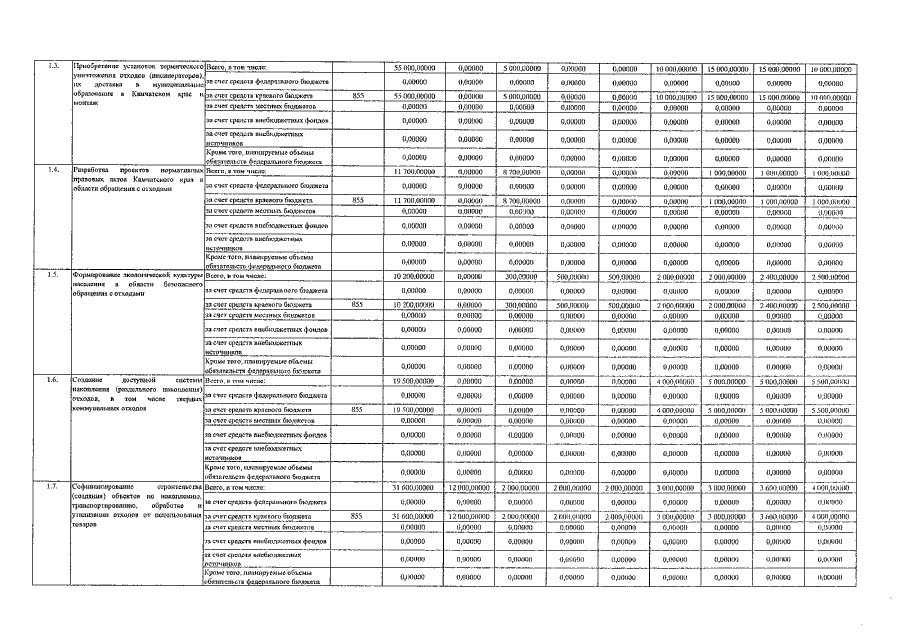
Постановление Правительства Камчатского края от 29.01.2019 № 31-П
"О внесении изменений в государственную программу Камчатского края "Обращение с отходами производства и потребления в Камчатском крае", утвержденную постановлением Правительства Камчатского края от 20.11.2017 № 488-П"
Номер опубликования: 4100201902010017
Дата опубликования: 01.02.2019
Страница №9 из 15:
Увеличить