Официальное опубликование правовых актов
ОФИЦИАЛЬНОЕ ОПУБЛИКОВАНИЕ
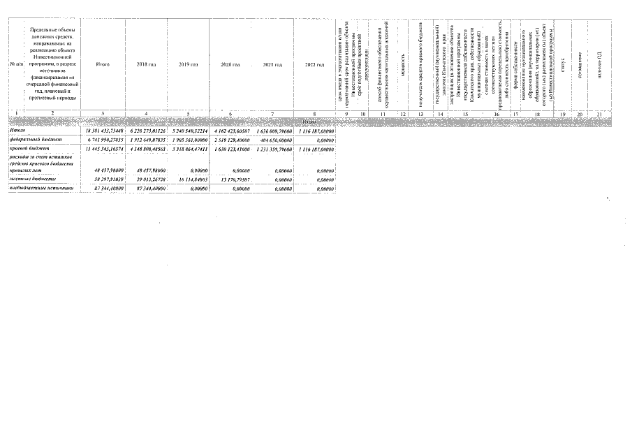
Постановление Правительства Камчатского края от 20.12.2018 № 540-П
"О внесении изменения в приложение к постановлению Правительства Камчатского края от 23.11.2017 № 495-П "Об утверждении инвестиционной программы Камчатского края на 2018 год и на плановый период 2019-2020 годов и прогнозный период 2021-2022 годов"
Номер опубликования: 4100201812250010
Дата опубликования: 25.12.2018
Страница №60 из 60:
Увеличить