Официальное опубликование правовых актов
ОФИЦИАЛЬНОЕ ОПУБЛИКОВАНИЕ
Постановление Правительства Камчатского края от 21.12.2018 № 549-П
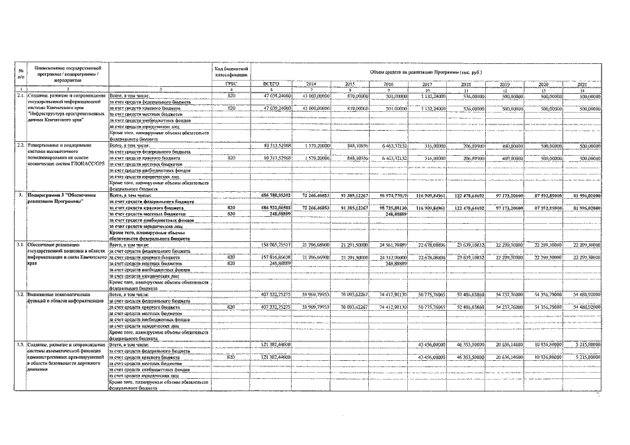
"О внесении изменений в государственную программу Камчатского края "Информационное общество в Камчатском крае", утверждённую постановлением Правительства Камчатского края от 22.11.2013 № 512-П"
Номер опубликования: 4100201812250009
Дата опубликования: 25.12.2018
Страница №19 из 20:
Увеличить