Официальное опубликование правовых актов
ОФИЦИАЛЬНОЕ ОПУБЛИКОВАНИЕ
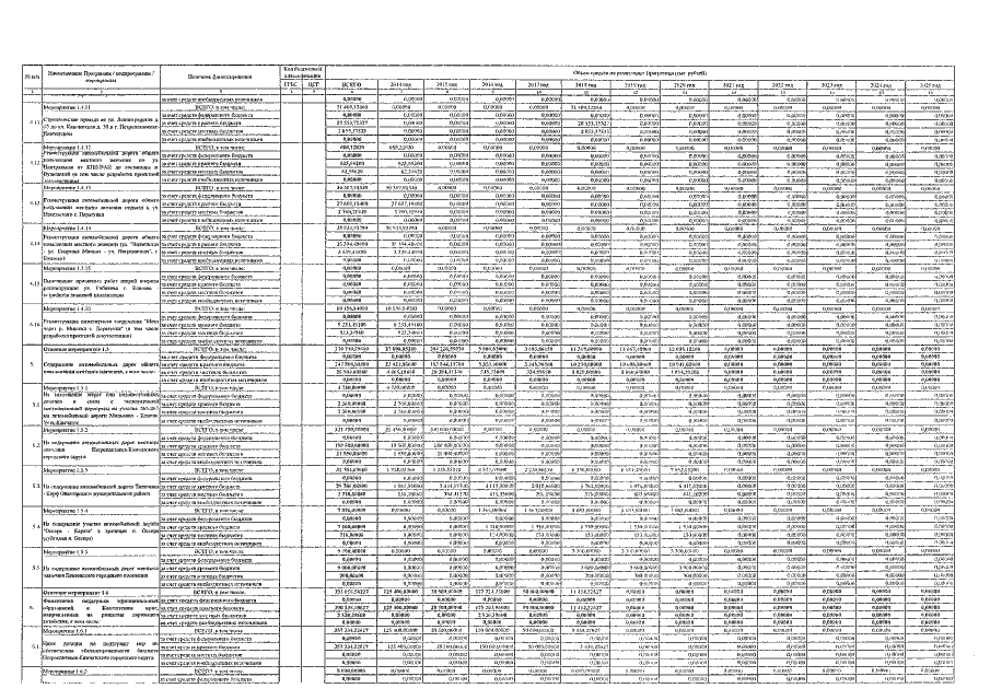
Постановление Правительства Камчатского края от 04.12.2018 № 499-П
"О внесении изменений в государственную программу Камчатского края "Развитие транспортной системы в Камчатском крае", утвержденную постановлением Правительства Камчатского края от 29.11.2013 № 551-П"
Номер опубликования: 4100201812070005
Дата опубликования: 07.12.2018
Страница №17 из 26:
Увеличить