Официальное опубликование правовых актов
ОФИЦИАЛЬНОЕ ОПУБЛИКОВАНИЕ
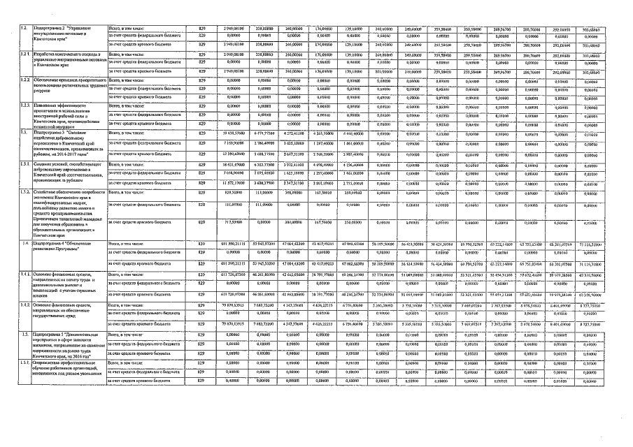
Постановление Правительства Камчатского края от 23.10.2018 № 448-П
"О внесении изменений в государственную программу Камчатского края "Содействие занятости населения Камчатского края", утвержденную постановлением Правительства Камчатского края от 11.11.2013 № 490-П"
Номер опубликования: 4100201810260001
Дата опубликования: 26.10.2018
Страница №21 из 23:
Увеличить