Официальное опубликование правовых актов
ОФИЦИАЛЬНОЕ ОПУБЛИКОВАНИЕ
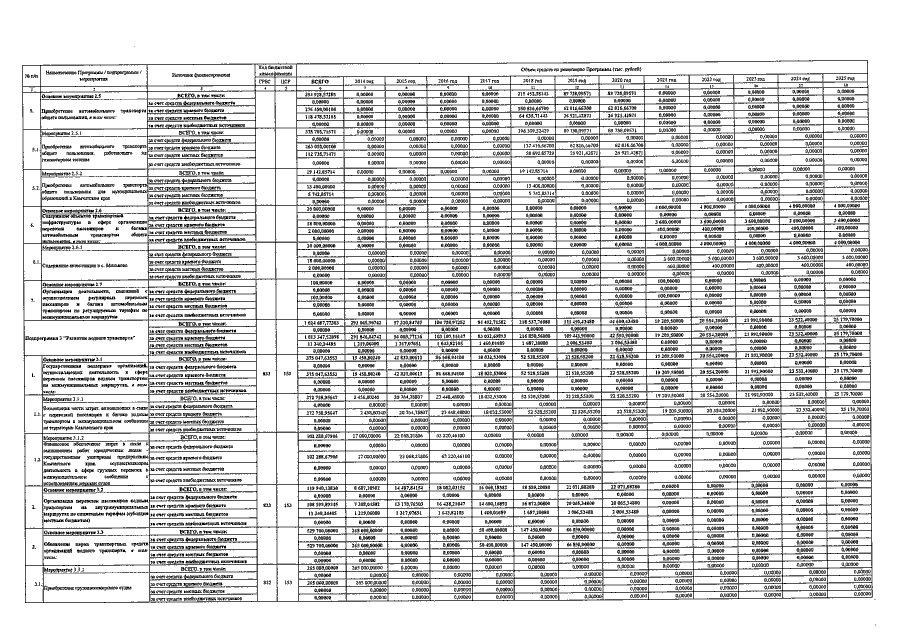
Постановление Правительства Камчатского края от 20.07.2018 № 302-П
"О внесении изменений в государственную программу Камчатского края "Развитие транспортной системы в Камчатском крае", утверждённую постановлением Правительства Камчатского края от 29.11.2013 № 551-П"
Номер опубликования: 4100201807230002
Дата опубликования: 23.07.2018
Страница №17 из 18:
Увеличить