Официальное опубликование правовых актов
ОФИЦИАЛЬНОЕ ОПУБЛИКОВАНИЕ
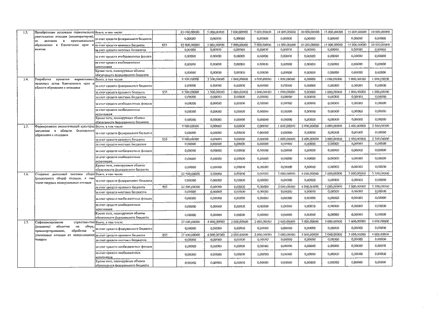
Постановление Правительства Камчатского края от 03.05.2018 № 177-П
"О внесении изменений в государственную программу Камчатского края "Обращение с отходами производства и потребления в Камчатском крае", утверждённую постановлением Правительства Камчатского края от 20.11.2017 № 488-П"
Номер опубликования: 4100201805070009
Дата опубликования: 07.05.2018
Страница №7 из 12:
Увеличить