Официальное опубликование правовых актов
ОФИЦИАЛЬНОЕ ОПУБЛИКОВАНИЕ
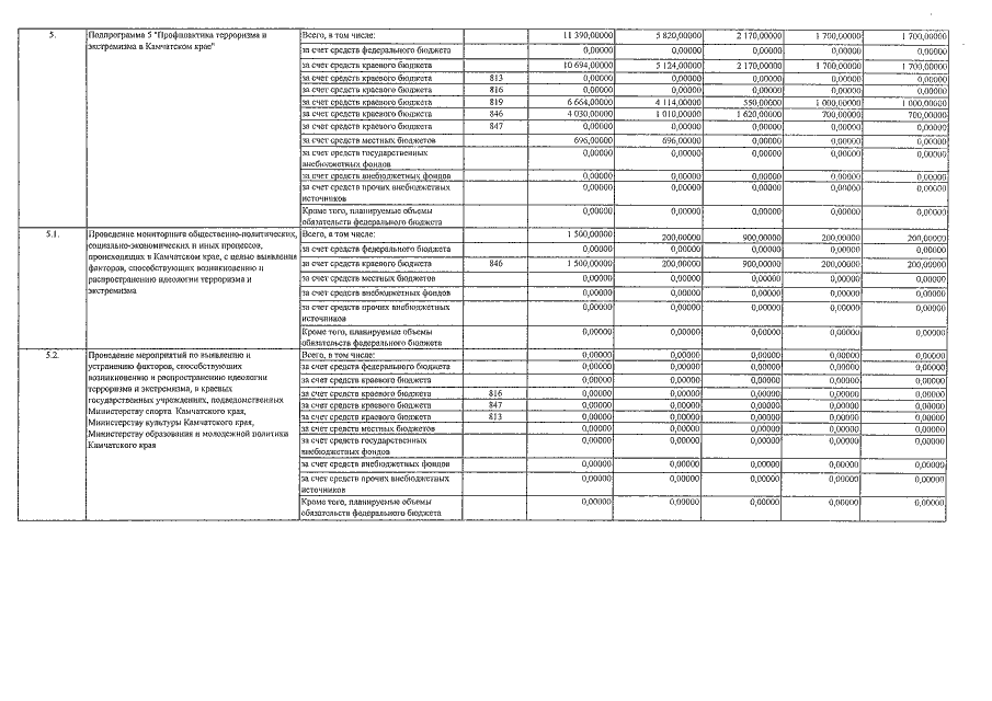
Постановление Правительства Камчатского края от 16.02.2018 № 77-П
"О внесении изменений в постановление Правительства Камчатского края от 14.11.2016 № 448-П "О Государственной программе Камчатского края "Безопасная Камчатка"
Номер опубликования: 4100201802190005
Дата опубликования: 19.02.2018
Страница №18 из 26:
Увеличить