Официальное опубликование правовых актов
ОФИЦИАЛЬНОЕ ОПУБЛИКОВАНИЕ
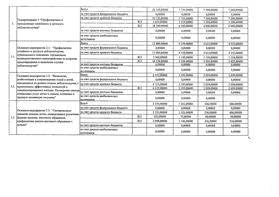
Постановление Правительства Камчатского края от 22.01.2018 № 20-П
"О внесении изменений в государственную программу Камчатского края "Семья и дети Камчатки", утверждённую постановлением Правительства Камчатского края от 31.07.2017 № 308-П"
Номер опубликования: 4100201801230004
Дата опубликования: 23.01.2018
Страница №11 из 11:
Увеличить