Официальное опубликование правовых актов
ОФИЦИАЛЬНОЕ ОПУБЛИКОВАНИЕ
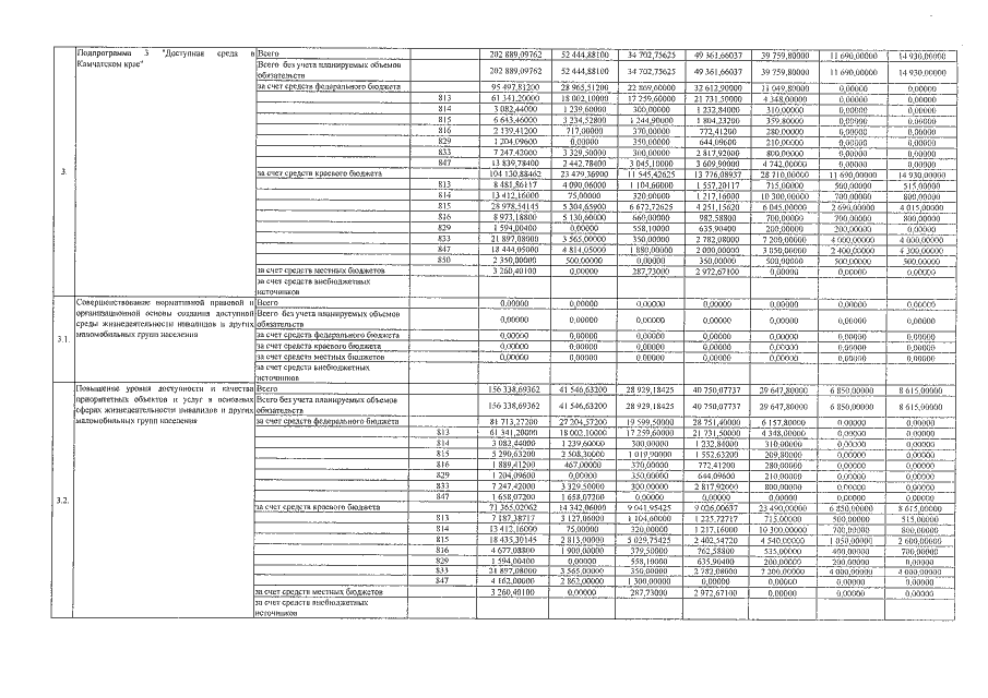
Постановление Правительства Камчатского края от 18.01.2018 № 13-П
"О внесении изменений в государственную программу Камчатского края "Социальная поддержка граждан в Камчатском крае", утверждённую постановлением Правительства Камчатского края от 29.11.2013 № 548-П"
Номер опубликования: 4100201801220002
Дата опубликования: 22.01.2018
Страница №25 из 33:
Увеличить