Официальное опубликование правовых актов
ОФИЦИАЛЬНОЕ ОПУБЛИКОВАНИЕ
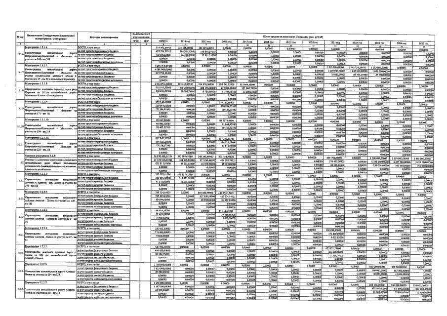
Постановление Правительства Камчатского края от 28.12.2017 № 575-П
"О внесении изменений в Государственную программу Камчатского края "Развитие транспортной системы в Камчатском крае", утверждённую постановлением Правительства Камчатского края от 29.11.2013 № 551-П"
Номер опубликования: 4100201712290015
Дата опубликования: 29.12.2017
Страница №8 из 17:
Увеличить