Официальное опубликование правовых актов
ОФИЦИАЛЬНОЕ ОПУБЛИКОВАНИЕ
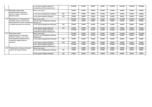
Постановление Правительства Камчатского края от 12.09.2017 № 373-П
"О внесении изменений в постановление Правительства Камчатского края от 11.11.2013 № 490-П "Об утверждении государственной программы Камчатского края "Содействие занятости населения Камчатского края"
Номер опубликования: 4100201709190012
Дата опубликования: 19.09.2017
Страница №25 из 25:
Увеличить