Официальное опубликование правовых актов
ОФИЦИАЛЬНОЕ ОПУБЛИКОВАНИЕ
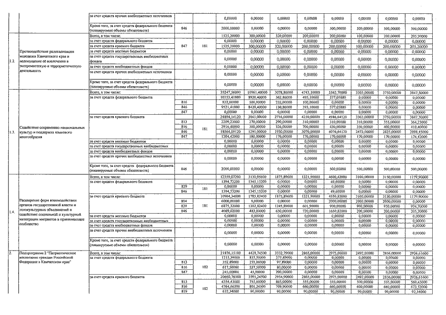
Постановление Правительства Камчатского края от 28.04.2017 № 181-П
"О внесении изменений в постановление Правительства Камчатского края от 29.11.2013 № 546-П "О государственной программе Камчатского края "Реализация государственной национальной политики и укрепление гражданского единства в Камчатском крае на 2014-2018 годы"
Номер опубликования: 4100201705100010
Дата опубликования: 10.05.2017
Страница №46 из 50:
Увеличить