Официальное опубликование правовых актов
ОФИЦИАЛЬНОЕ ОПУБЛИКОВАНИЕ
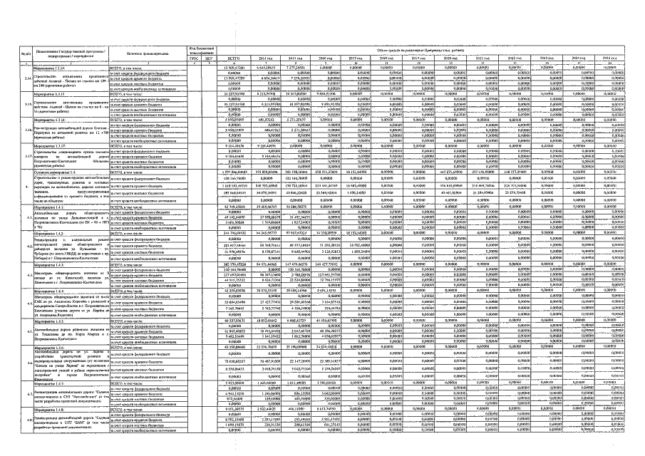
Постановление Правительства Камчатского края от 31.03.2017 № 134-П
"О внесении изменений в постановление Правительства Камчатского края от 29.11.2013 № 551-П "О Государственной программе Камчатского края "Развитие транспортной системы в Камчатском крае на 2014-2025 годы"
Номер опубликования: 4100201704060009
Дата опубликования: 06.04.2017
Страница №29 из 43:
Увеличить