Официальное опубликование правовых актов
ОФИЦИАЛЬНОЕ ОПУБЛИКОВАНИЕ
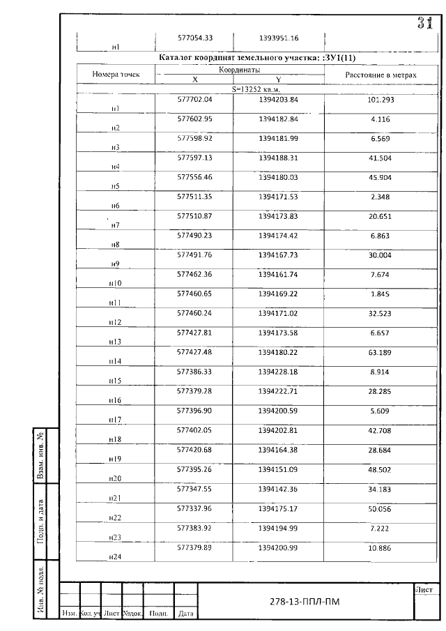
Постановление Правительства Камчатского края от 06.03.2017 № 77-П
"Об утверждении документации по планировке территории для размещения линейных объектов регионального значения"
Номер опубликования: 4100201703100015
Дата опубликования: 10.03.2017
Страница №331 из 450:
Увеличить