Официальное опубликование правовых актов
ОФИЦИАЛЬНОЕ ОПУБЛИКОВАНИЕ
Постановление Правительства Камчатского края от 26.01.2017 № 28-П
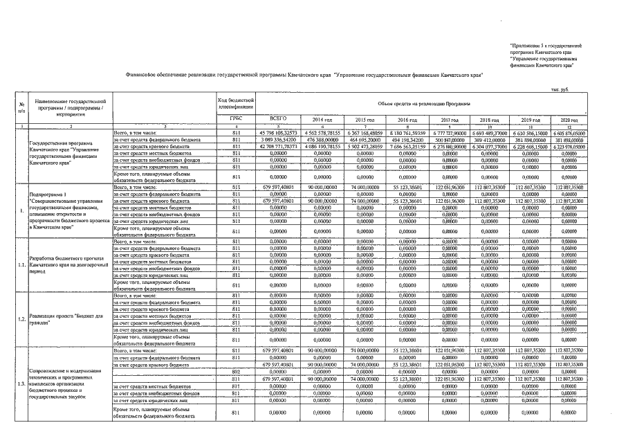
"О внесении изменений в постановление Правительства Камчатского края от 22.11.2013 № 511-П "Об утверждении государственной программы Камчатского края "Управление государственными финансами Камчатского края"
Номер опубликования: 4100201701310012
Дата опубликования: 31.01.2017
Страница №5 из 9:
Увеличить