Официальное опубликование правовых актов
ОФИЦИАЛЬНОЕ ОПУБЛИКОВАНИЕ
Постановление Правительства Камчатского края от 13.01.2017 № 10-П
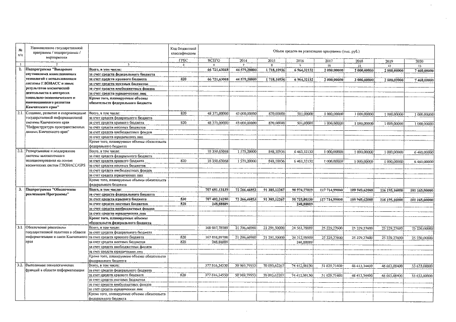
"О внесении изменений в постановление Правительства Камчатского края от 22.11.2013 № 512-П "О государственной программе Камчатского края "Информационное общество в Камчатском крае на 2014-2019 годы"
Номер опубликования: 4100201701190001
Дата опубликования: 19.01.2017
Страница №30 из 33:
Увеличить