Официальное опубликование правовых актов
ОФИЦИАЛЬНОЕ ОПУБЛИКОВАНИЕ
Постановление Правительства Камчатского края от 19.12.2016 № 503-П
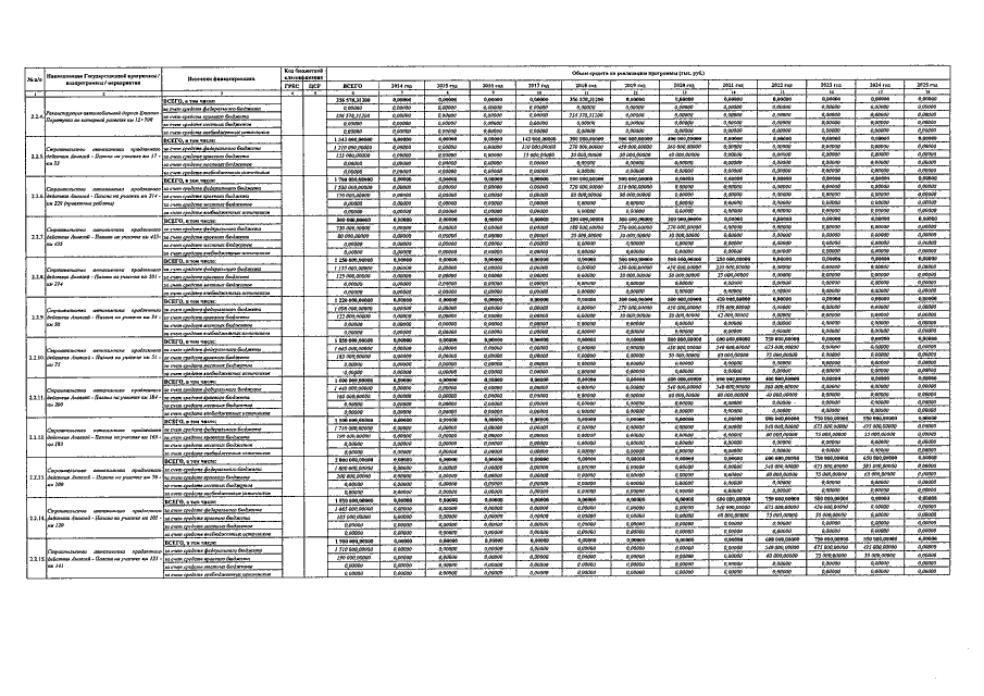
"О внесении изменений в Государственную программу Камчатского края "Развитие транспортной системы в Камчатском крае на 2014-2025 годы", утверждённую постановлением Правительства Камчатского края от 29.11.2013 № 551-П"
Номер опубликования: 4100201612270006
Дата опубликования: 27.12.2016
Страница №15 из 23:
Увеличить