Официальное опубликование правовых актов
ОФИЦИАЛЬНОЕ ОПУБЛИКОВАНИЕ
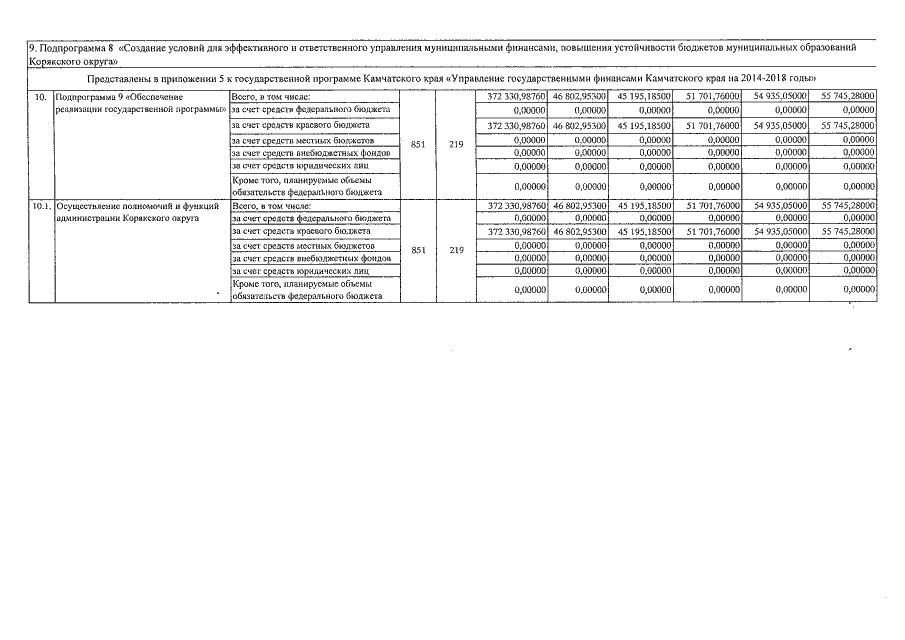
Постановление Правительства Камчатского края от 19.12.2016 № 498-П
"О внесении изменений в Государственную программу Камчатского края "Социальное и экономическое развитие территории с особым статусом "Корякский округ" на период 2014-2018 годы", утверждённую постановлением Правительства Камчатского края от 05.02.2014 № 62-П"
Номер опубликования: 4100201612270003
Дата опубликования: 27.12.2016
Страница №7 из 7:
Увеличить