Официальное опубликование правовых актов
ОФИЦИАЛЬНОЕ ОПУБЛИКОВАНИЕ
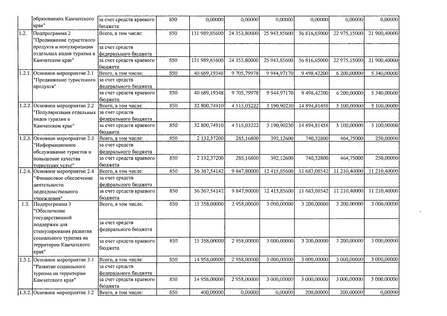
Постановление Правительства Камчатского края от 08.12.2016 № 480-П
"О внесении изменений в государственную программу Камчатского края "Развитие внутреннего и въездного туризма в Камчатском крае на 2014-2018 годы", утверждённую постановлением Правительства Камчатского края от 29.11.2013 № 554-П"
Номер опубликования: 4100201612130012
Дата опубликования: 13.12.2016
Страница №7 из 8:
Увеличить