Официальное опубликование правовых актов
ОФИЦИАЛЬНОЕ ОПУБЛИКОВАНИЕ
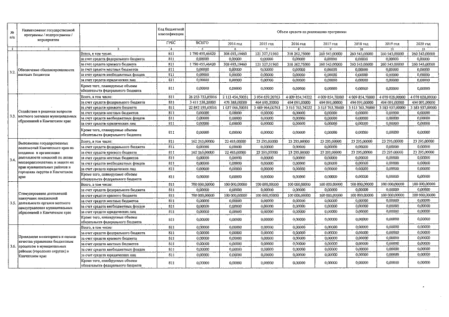
Постановление Правительства Камчатского края от 29.11.2016 № 465-П
"О внесении изменений в постановление Правительства Камчатского края от 22.11.2013 № 511-П "Об утверждении государственной программы Камчатского края "Управление государственными финансами Камчатского края на 2014-2018 годы"
Номер опубликования: 4100201612060007
Дата опубликования: 06.12.2016
Страница №33 из 45:
Увеличить