Официальное опубликование правовых актов
ОФИЦИАЛЬНОЕ ОПУБЛИКОВАНИЕ
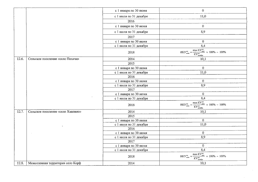
Постановление Губернатора Камчатского края от 30.11.2016 № 123
"О внесении изменений в постановление Губернатора Камчатского края от 30.04.2014 № 49 "Об установлении предельных (максимальных) индексов изменения размера вносимой гражданами платы за коммунальные услуги в муниципальных образованиях в Камчатском крае с 1 июля 2014 года по 2018 год"
Номер опубликования: 4100201612060002
Дата опубликования: 06.12.2016
Страница №19 из 40:
Увеличить