Официальное опубликование правовых актов
ОФИЦИАЛЬНОЕ ОПУБЛИКОВАНИЕ
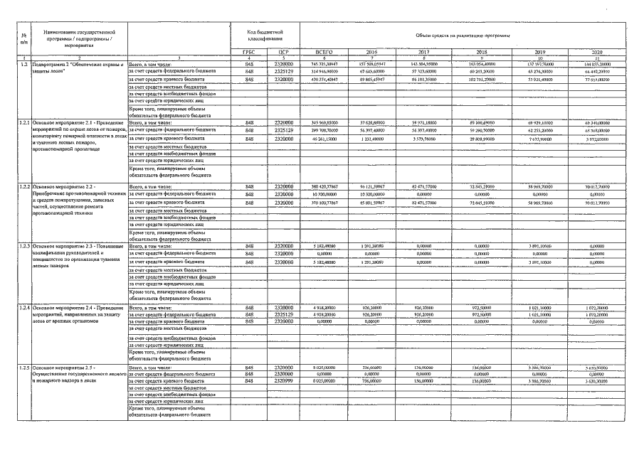
Постановление Правительства Камчатского края от 31.10.2016 № 429-П
"О внесении изменений в государственную программу Камчатского края "Развитие лесного хозяйства, охрана и воспроизводство животного мира на территории Камчатского края на 2016-2020 годы", утверждённую постановлением Правительства Камчатского края от 30.11.2015 № 434-П"
Номер опубликования: 4100201611070008
Дата опубликования: 07.11.2016
Страница №8 из 11:
Увеличить