Официальное опубликование правовых актов
ОФИЦИАЛЬНОЕ ОПУБЛИКОВАНИЕ
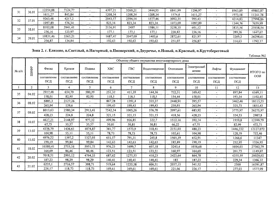
Постановление Правительства Камчатского края от 12.07.2016 № 260-П
"О внесении изменений в постановление Правительства Камчатского края от 03.06.2016 № 217-П "Об утверждении размера предельной стоимости услуг и (или) работ по капитальному ремонту общего имущества в многоквартирном доме в Камчатском крае на 2017-2019 годы"
Номер опубликования: 4100201607190006
Дата опубликования: 19.07.2016
Страница №6 из 22:
Увеличить